<li id="c044c"><tt id="c044c"></tt></li>
<tt id="c044c"><table id="c044c"></table></tt>
  • <tt id="c044c"><table id="c044c"></table></tt>
  • BOLTING品牌生產廠家是一家專業從事液壓泵,液壓扭力扳手、電動扭力扳手、氣動扭力扳手設計、研發、制造及銷售于一體的企業

    液壓扳手_液壓扭力扳手_氣動_電動扭矩扳手_首選BOLTING進口液壓扳手

    液壓扳手行業領航者

    卓越的品質和服務是我們永恒的追求

    全國咨詢熱線021-58213301

    航空結構中螺栓連接預緊力設計研究

    文章出處:未知 人氣:發表時間:2019-02-26 09:46

    引言:螺栓連接結構的穩定性、緊密性、防松能力以及螺栓強度和剛性都與螺栓預緊力有直接關系。預緊力的大小決定著螺栓連接結構中的各項屬性。

     

     

    航空結構中的螺栓預緊力

    1.1 航空結構中預緊力的作用

      適當控制預緊力的大小是提高航空結構連接質量的重要措施,螺栓預緊力在航空結構中主要有以下作用:

      第一,在飛機中經常有一些需要密封的結構,適當的預緊力可以使這些結構達到更好的密封效果;

      第二,適當的螺栓預緊力可以有效避免因機體震蕩導致的螺栓結構松動、偏移甚至分離的情況;

      第三,連接結構的剛度會隨著預緊力的增大而增大,當同一結構中螺栓連接的數量越多,該結構的剛性就越強,進而提升該結構的承載能力;

      第四,螺栓連接不會像焊接一樣,產生較大的應力,因此,螺栓連接處的抗疲勞能力和承載能力會有效提高。

    1.2 預緊力過大產生的不良后果

      理論上,飛機連接結構會有一定的屈服強度,在螺栓連接沒達到飛機結構的屈服點時,預緊力越大,連接結構就越穩定。

      但實際情況卻并非如此,如果預緊力過大,首先會導致連接結構拆裝不方便;其次,一些密封結構在螺栓與被連接件之間都會放置一個密封圈,預緊力過大會對密封圈造成破壞,影響密封效果;最后,預緊力過大會導致螺栓的螺紋變形,后期可能會因螺紋變形導致連接結構脫落。

      在實際的螺栓連接過程中,很多時候都是憑借施工人員的經驗來確定預緊力的大小,因此會造成很大的預緊力誤差,影響連接效果。所以,進行螺栓連接時,要經過科學的計算,確定預緊力大小,而后通過專業工具進行預緊力調節,進而使航空結構更加牢固。

     

    螺栓預緊力的確定

    2.1 擰緊力矩計算公式

      國際上知名飛機制造商波音公司對航空結構中的預緊力進行研究之后,得出以下結論:對于一般航空結構中用到的螺栓來說,預緊力的大小應該是其屈服載荷的一半左右,最多不能超過70%,但由于航空結構會受到飛機動載荷的影響,所以螺栓預緊力應該適當調低,選擇在其屈服載荷的35%左右最為合適。航空結構螺栓預緊力的計算公式如下:

      其中:F 是螺栓預緊力;K1 表示為預緊力系數,一般情況下該系數在0.35 到0.7 之間選擇;As 為螺栓的應力截面積;σs 為螺栓材料的屈服點。

      該公式只能在理論上對螺栓預緊力進行計算,實際工作中不可能準確的測得螺栓預緊力,進而無法實現精準控制。所以,實際工作中通常把預緊力公式進行轉換,得到擰緊力矩的計算公式,從而通過控制擰緊力矩,實現對預緊力的控制。

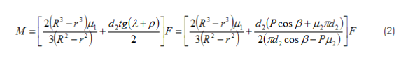
      擰緊力矩主要指的是以下三種:第一,為了使螺栓連接結構產生預期的預緊力所需要的力矩;第二,為克服擰緊過程中產生的摩擦阻力所需要的力矩;第三,克服自鎖機構阻力所需力矩。最終,根據擰緊力矩的類型,整理出螺栓擰緊力矩的理論計算公式:

      

      其中:F 表示為預期預緊力;M 是螺栓最終的擰緊力矩;d2 為螺紋中徑;P 為螺距;μ1 被連接件與螺母之間的摩擦系數;μ2 為螺紋之間的摩擦系數;β 為螺紋牙形半角;λ為螺紋升角;ρ 為螺栓螺母螺紋之間的摩擦角;R 為螺母支承面外圓半徑;r 為螺母支承面內圓半徑。但是實際工作中如果按照(2)式計算螺栓的擰緊力矩會顯得非常麻煩,因此,為了便于實際工程的計算,對(2)進行簡化,最終得到下式:

      (3)式中:K2是擰緊力矩系數;F表示為預緊力,F為式(1)計算得到的;d為螺紋公稱直徑。

    2.2 擰緊力矩試驗法

      經對上述公式的大量實驗結果研究之后可以得出一條結論:通過公式(3)計算得出的力矩,在一般情況下都可以滿足相關的工程要求。

      但由于航空結構對于穩定性與牢固性要求很高,所以為了得到準確的力矩,需要通過實驗,對計算結果進行驗證,具體方法如下:第一,按照式(1)計算出連接結構所需的預緊力F;第二,按照公式(1)的計算結果,計算出連接結構的力矩;第三,嚴格按照國家相關文件對連接結構中力矩的要求,進行實驗,驗證力矩和螺栓理論預緊力之間的誤差。

     

    控制螺栓預緊力的主要方法

    3.1 轉角法

      轉角法是先通過一般的方式將螺栓擰緊,使被連接件與螺母貼合,之后再利用專業扳手,按照力學計算得出的旋緊角度對其進行進一步的旋緊,進而增加螺栓的延長量,提高預緊力。旋緊角度的大小是結合螺栓材質、被連接件材質以及相關的尺寸、預緊力大小決定的,除此之外,還要考慮螺栓與被連接件的彈性形變量以及初次旋緊的預緊力大小。

      因此,通過轉角法控制螺栓預緊力時,除了會受到連接件材質剛性的影響之外,螺紋摩擦力、螺栓制造質量等因素均不會對其控制精度造成影響,該方法能夠將預緊力的精度誤差控制在15%以下,是目前能達到的預緊力精度最高的方法。

    3.2 力矩法

      力矩法的主要特點就是用扳手的力矩控制預緊力的大小,在實際工作中,工人借助專業的扭力扳手完成螺栓擰緊工作,擰緊時可以通過扳手上顯示的力矩來對預緊力進行精準調節。

      在螺紋的擰緊過程中螺母與被連接件之間會產生摩擦力,螺紋之間也會產生一定的摩擦阻力,而扭力扳手顯示的就是這兩個力的和,因此,用力矩法來控制預緊力可以直觀的了解到螺栓擰緊時產生的阻力,進而對預緊力進行精準的調節。但由于螺紋可能存在損傷,導致摩擦力是一個變量,因此,該方法能達到的預緊力精度較低,不適用要求較高的連接結構。

    3.3 拉伸法

      拉伸法指的是通過對螺栓進行加熱,使其具有一定延展性,之后將其拉伸至連接需要的長度,在冷卻之前擰緊螺母,完成連接。

      根據熱脹冷縮的原理,螺栓在冷卻之后,由于長度縮短,會大大增加預緊力。該方法可以產生巨大的預緊力,對于一些預緊力要求很高的場合來說非常適用。拉伸法除了會受到“拉伸量”影響之外,不會受到外界其他因素的影響,所以預緊效果也非常明顯。例如,在連接M30的液壓螺母時,通過拉伸法連接所達到的預緊力大約在37kN左右,遠遠超過了一般工具擰緊產生的預緊力。

     

    結 語

      通過上述研究,我們可以發現,航空結構中很多部位都是通過螺栓連接的,螺栓預緊力與航空結構的整體水平有密切的關系。在實際工作中,相關工作人員需要針對不同強度要求的航空結構,采取相應的螺栓連接,經過科學、嚴謹的計算,得出預緊力的大小,不要一味的追求結構的穩定性而增大螺栓預緊力,有時反而會得不到預期的效果,影響航空結構的穩定。

    同類文章排行

    最新資訊文章

    關閉
    021-58213301
    <li id="c044c"><tt id="c044c"></tt></li>
    <tt id="c044c"><table id="c044c"></table></tt>
  • <tt id="c044c"><table id="c044c"></table></tt>
  • 99热国产精品 大同市| 班玛县| 陇西县| 什邡市| 启东市| 长治市| 鄂温| 桃园市| 阳山县| 龙海市| 莒南县| 蕲春县| 曲阳县| 故城县| 徐闻县| 通道| 龙里县| 壤塘县| 和林格尔县| 峡江县| 昌吉市| 龙泉市| 营山县| 灵宝市| 盈江县| 肇庆市| 八宿县| 巫山县| 屏东县| 林甸县| 新疆| 抚远县| 大港区| 攀枝花市| 永丰县| 广汉市| 清河县| 郑州市| 高唐县| 驻马店市| 车致| http://444 http://444 http://444